PEMUAIAN
1. Pemuaian pada Zat Padat
Memuai adalah bertambahnya ukuran suatu benda karena suhunya naik.
Pada dasarnya semua benda akan memuai jika dinaikkan suhunya/dipanaskan.
Zat padat dapat mengalami 3 (tiga) macam pemuaian sekaligus yaitu muai panjang, muai luas dan muai volum. Zat cair dan gas hanya mengalami satu macam pemuaian yaitu muai volum.
Karena terjadi pemuaian inilah kadang menjadi masalah bagi manusia, sehingga harus dipikirkan cara mengatasinya. Perhatikan salah satunya pada gambar berikut!
Pernahkah kalian perhatikan mengapa sambungan rel kereta api dibuat renggang atau bercelah? Mengapa?
A. Pemuaian Panjang
Muai panjang adalah penambahan panjang suatu benda jika ketika suhunya dinaikkan/dipanaskan.
Perhatikan penjelasan berikut!
Berikut ini daftar koefisien muai panjang dari beberapa bahan
Seutas kawat tipis terbuat dari perak semula panjangnya 40 cm suhunya 20⁰C. Berapakah panjangnya sekarang jika suhunya dinaikkan menjadi 35⁰C jika diketahui koefisien muai panjang perak 0,00002/⁰C.
Diketahui :
L₀ = 40 cm
T₁ = 20⁰C
T₂ = 35⁰C
⧍T = T₂ - T₁ = (35 - 20)⁰C = 15⁰C
𝛂 = 0,00002/⁰C
Ditanyakan Lt = ...?
Jawab :
Lt = L₀ (1+𝛂.⧍T)
Lt = 40 { 1 + ( 0,00002 . 15)}
Lt = 40 ( 1 + 0,0003)
Lt = (40 x 1 ) + (40 x 0,0003)
Lt = 40 + 0,012
Lt = 40,012 cm
Jadi panjang kawat perak setelah dipanaskan adalah 40,012 cm.
B. Pemuaian Luas
Muai luas yaitu penambahan luas sebuah benda ketika suhunya dinaikkan/ dipanaskan.
Perhatikan gambar berikut!
A₀ = Luas benda sebelum dipanaskan
At = Luas benda setelah dipanaskan
⧍A = Penambahan luas
Berpedoman pada persamaan pemuaian panjang maka luas benda setelah dipanaskan dapat dinyatakan :
𝞫 = koefisien muai luas yang besanya 2∝
⧍T = kenaikan suhu ( suhu akhir - suhu awal ==> T₂ - T₁)
Contoh soal
Selembar plat tipis terbuat dari besi pada suhu 10⁰C luasnya 20 cm². Hitunglah luasnya jika suhunya dinaikkan menjadi 60⁰C jika koefisien muai panjang besi 0,000012/⁰C!
Diketahui:
A₀ = 20 cm²
T₁ = 10⁰C
T₂ = 60⁰C
⧍T = T₂ - T₁ = (60 - 10)⁰C = 50⁰C
𝛂 = 0,000012/⁰C
𝞫 = 2.𝛂 = 2 x 0,000012 = 0,000024/⁰C
Ditanyakan : At = ... ?
Jawab :
At = A₀ ( 1 + 𝞫. ⧍T)
At = 20 { 1 + (0,000024 x 50⁰)}
At = 20 ( 1 + 0,0012)
At = (20 x 1) + (20 x 0,0012)
At = 20 + 0,024
At = 20,024 cm²
Jadi luas plat besi setelah dipanaskan adalah 20,024 cm²
C. Pemuaian Volum
Muai volum yaitu penambahan volum sebuah benda ketika suhunya dinaikkan/dipanaskan.
Perhatikan gambar berikut!
V₀ = Volum benda sebelum dipanaskan
Vt = Volum benda setelah dipanaskan
⧍V = Penambahan volum
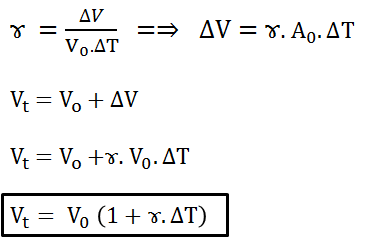
Berpedoman pada persamaan pemuaian panjang maka volum benda setelah dipanaskan dapat dinyatakan :
𝜸 = koefisien muai volum yang besanya 3∝
⧍T = kenaikan suhu ( suhu akhir - suhu awal ==> T₂ - T₁)
Contoh soal:
Sebuah balok terbuat dari bahan kuningan pada suhu 25⁰C volumnya 30 cm³. Diketahui koefisien muai panjang kuningan adalah 0,000018/⁰C. Berapakah volumnya jika dipanaskan hingga suhunya menjadi 45⁰C?
Diketahui :
V₀ = 30 cm³
T₁ = 25⁰C
T₂ = 45⁰C
⧍T = T₂ - T₁ = (45 - 25)⁰C = 20⁰C
𝛂 = 0,000018/⁰C
𝜸 = 3.𝛂 = 3 x 0,000018 = 0,000054/⁰C
Ditanyakan : Vt = ...?
Jawab :
Vt = V₀ (1 + 𝜸. ⧍T)
Vt = 30 {1 + ( 0,000054 x 20)}
Vt = 30 ( 1 + 0,0108)
Vt = (30 x 1) + (30 x 0,0108)
Vt = 30 + 0,0342
Vt = 30,0324 cm³
Jadi volum balok kuningan setelah dipanaskan adalah 30,0324 cm³
Alat untuk menyelidiki pemuaian beberapa zat padat disebut musschenbroek.
Perhatikan gambar di bawah ini.
 |
Gambar : musschenbroek
|
2. Pemuaian pada Zat Cair
Pada zat cair tidak melibatkan muai panjang ataupun muai luas, tetapi hanya dikenal muai ruang atau muai volume saja. Semakin tinggi suhu yang diberikan pada zat cair itu maka semakin besar muai volumenya. Pemuaian zat cair untuk masing-masing jenis zat cair berbeda-beda, akibatnya walaupun mula-mula volume zat cair sama tetapi setelah dipanaskan volumenya menjadi berbeda-beda. Pemuaian volume zat cair terkait dengan pemuaian tekanan karena peningkatan suhu. Titik pertemuan antara wujud cair, padat dan gas disebut titik tripel.
 |
Gambar : Titik Triple
|
Anomali Air
Khusus untuk air, pada kenaikan suhu dari 0º C sampai 4º C volumenya tidak bertambah, akan tetapi justru menyusut. Pengecualian ini disebut dengan anomali air. Oleh karena itu, pada suhu 4ºC air mempunyai volume terendah. Hubungan volume dengan suhu pada air dapat digambarkan pada grafik berikut.
 |
Gambar : Anomali Air
|
Pada suhu 4ºC, air menempati posisi terkecil sehingga pada suhu itu air memiliki massa jenis terbesar. Jadi air bila suhunya dinaikkan dari 0ºC – 4ºC akan menyusut, dan bila suhunya dinaikkan dari 4ºC ke atas akan memuai. Biasanya pada setiap benda bila suhunya bertambah pasti mengalami pemuaian. Peristiwa yang terjadi pada air itu disebut anomali air. Hal yang sama juga terjadi pada bismuth dengan suhu yang berbeda.
Contoh soal
Sebuah panci berisi air penuh dengan volume 4 liter suhunya 20⁰C. Air tersebut kemudian di panaskan hingga suhunya 100⁰C. Berapakah volume air yang akan tumpah dari panci tersebut? (diketahui koefisien muai volum air = 0,004/⁰C)
Pembahasan
Volume air yang tumpah sama dengan penambahan volume air ( ΔV ) akibat pemanasan,
Diketahui :
V₀ = 4 liter
T₁ = 20⁰C
T₂ = 100⁰C
⧍T = T₂ - T₁ = (100 - 20)⁰C = 80⁰C
𝜸 = 0,004/⁰C
Ditanyakan : ΔV = ...?
Jawab:
ΔV = Vo.𝜸.ΔT
ΔV = 4 liter x 0,004 x 80
ΔV = 1,28 liter
Jadi volum air yang tumpah adalah 1,28 liter
3. Pemuaian pada Gas
Mungkin kamu pernah menyaksikan mobil atau motor yang sedang melaju di jalan tiba-tiba bannya meletus?. Ban mobil tersebut meletus karena terjadi pemuaian udara atau gas di dalam ban. Pemuaian tersebut terjadi karena adanya kenaikan suhu udara di ban mobil akibat gesekan roda dengan aspal.
Pemuaian pada gas adalah pemuaian volume yang dirumuskan sebagai berikut:
atau
γ adalah koefisien muai volume
Pemuaian gas dibedakan tiga macam, yaitu:
a. pemuaian gas pada suhu tetap (isotermal),
b. pemuaian gas pada tekanan tetap (isobar), dan
c. pemuaian gas pada volume tetap (isokhorik).
1. Pemuaian Gas pada Suhu Tetap (Isotermal)
Pernahkah kalian memompa ban dengan pompa manual. Apa yang kalian rasakan ketika baru pertama kali menekan pompa tersebut? Apa yang kalian rasakan ketika kalian menekannya lebih jauh? Awalnya mungkin terasa ringan. Namun, lama kelamaan menjadi berat. Hal ini karena ketika kita menekan pompa, itu berarti volume gas tersebut mengecil. Pemuaian gas pada suhu tetap berlaku hukum Boyle, yaitu gas di dalam ruang tertutup yang suhunya dijaga tetap, maka hasil kali tekanan dan volume gas adalah tetap. Dirumuskan sebagai:
Keterangan:
P = tekanan gas (atm)
V = volume gas (L)
2. Pemuaian Gas pada Tekanan Tetap (Isobar)
Pemuaian gas pada tekanan tetap berlaku hukum Gay Lussac, yaitu gas di dalam ruang tertutup dengan tekanan dijaga tetap, maka volume gas sebanding dengan suhu mutlak gas. Dalam bentuk persamaan dapat dituliskan sebagai:
Keterangan:
V = volume (L)
T = suhu (K)
3. Pemuaian Gas Pada Volume Tetap (Isokhorik)
Pemuaian gas pada volume tetap berlaku hukum Boyle-Gay Lussac, yaitu jika volume gas di dalam ruang tertutup dijaga tetap, maka tekanan gas sebanding dengan suhu mutlaknya. Hukum Boyle-Gay Lussac dirumuskan sebagai:
Dengan menggabungkan hukum boyle dan hukum Gay Lussac diperoleh persamaan:
Keterangan:
P = tekanan (atm)
V = volume (L)
T = suhu (K)
Masalah yang Ditimbulkan oleh Pemuaian dalam Kehidupan Sehari-hari
a. Pemasangan kaca jendela
Tukang kayu dalam melakukan rancangan ukuran bingkai jendela sedikit lebih besar daripada ukuran yang sebenarnya. Hal ini ditujukan untuk memberi ruang kaca pada waktu terjadi pemuaian. Jika desain jendela tidak diberi ruangan untuk pemuaian, maka pada waktu kaca memuai akan mengakibatkan terjadinya retak pada kaca tersebut.
b. Celah pemuaian pada sambungan jembatan
Pada jembatan, biasanya kita melihat adanya sambungan/ celah antara 2 sambungan. Tujuan dari adanya celah tersebut adalah supaya jembatan tersebut tidak melengkung pada waktu terjadi pemuaian.
c. Sambungan rel kereta api
Terdapat celah antara batang rel kereta api, tujuannya dibuat celaha dalah supaya pada waktu terjadi pemuaian tidak terjadi lengkungan pada relnya.
d. Kawat telepon atau kawat listrik
Pemasangan pada kawat telepon atau kawat listrik sengaja dibiarkan supaya kendor pada waktu pemasangannya. Tujuannya adalah pada waktu malam hari kawat telepon atau listrik akan mengalami penyusutan, oeh karenanya kawat tersebut tidak menjadi putus.
Penerapan Pemuaian dalam Kehidupan Sehari-hari
Apa saja manfaat proses pemuaian, berikut beberapa contohnya:
a. Pengelingan
Pengertian mengeling adalag menyambung dua pelat dengan menggunkan paku khusus dengan proses yang khusus. Bagaimanakah cara memasang paku keling? Paku yang digunakan untuk proses mengeling sesuatu dalam kondisi yang panas sampai berpijar kemudian dimasukkan ke dalam lubang pelat yang akan dikeling. Lalu paku pada bagian atas dipukul-pukul hingga rata. Sesudah dingin, paku keling tersebut akan menyusut kemudian akan menekan dengan kuat pelat tersebut. Proses pengelingan bisa teman-teman lihat pada proses pembuatan badan kapal laut.
b. Keping bimetal
 |
Gambar : Bimetal
|
Dua keping logam yang memiliki koefisien muai panjang berbeda dikeling menjadi satu disebut keping bimetal. Pada keping bimetal peka terhadap perubahan suhu yang terjadi. Apabila keping bimetal dilakukan pemanasan, maka akan melengkung ke arah logam yang angka koefisien muai panjangnya kecil. Apabila didinginkan, maka keping bimetal akan melengkung ke arah logam yang angka koefisien muai panjangnya besar.
Perbedaan pemuaian ini dipakai sebagai termostat yang memiliki fungsi fungsi ganda yaitu berfungsi sebagai saklar otomatis dan berfungsi sebagai pengatur suhu. Beberapa alat yang memanfaatkan keping bimetal dalam termostat, misalnya : setrika listrik, almari es, bel listrik, alarm kebakaran, lampu sen mobil atau motor, rice cooker, oven.
c. Pemasangan bingkai roda logam pada roda pedati & kereta api.
Pada roda pedati & pada roda kereta api mempunyai ukuran lebih kecil drpd ukuran bingkainya. Untuk bisa dilakukan pemasangan roda logam tersebut, maka dilakukan dengan cara pemanasan. Hal tersebut menyebabkan roda logam akan mengalami proses pemuaian. Selanjutnya roda logam tsb dipasang pada bingkainya, sesudah mengalami proses pendinginan, maka roda tersebut akan mengalami proses penyusutan dan terpasang pada bingkainya dengan kuat.
Sumber:
- Buku Siswa IPA Kelas VII semester gasal kurikulum 2013
- https://rumushitung.com/2013/01/24/pemuaian-zat-padat-cair-gas/
- https://www.amongguru.com/latihan-soal-ipa-suhu-dan-perubahannya-kelas-7-smp-kurikulum-2013/
- https://dinasuciwahyuni.blogspot.com/2016/09/pemuaian-materi-ipa-untuk-smp-kelas-vii.html
- https://nusacaraka.com/2019/03/21/pemuaian/